ausgewaehlteSeiten - page 60

Empfehlungen und Zusammenfassung
390
Die oben beschriebene Studie ist meines Wissens bislang noch nicht durchgeführt worden. Bei
einer Umsetzung wird man sicherlich noch auf einige Haken und Ösen stoßen. Beratung durch
Methodologen/Statistiker wäre nützlich und notwendig.
Innerhalb gewisser Grenzen sind im Rahmen des klinischen Alltags also Effektforschungen
gut durchführbar. Weitere Vertiefungen würden aber den Rahmen dieses Buches sprengen. Die
Methodologie des Aufbaus eines Studiendesigns ist ja sehr umfangreich und komplex.
Wir können nur hoffen, dass Reha-Zentren nicht zu Lieferanten von „Standardprodukten“
werden, sondern auch zukünftig aktiv zu einer dynamischen Weiterentwicklung unseres Wis-
sens, unserer Erfahrung sowie von Ideen und Konzepten beitragen.
Es wäre in der gängigen Praxis gut möglich, Möglichkeiten für kritische Reflexion zu organi-
sieren, beispielsweise durch ein Angebot von Vorträgen und Fallkonferenzen, die Durchführung
von Probebehandlungen oder interdisziplinären Diskussionen über relevante Literatur. Trotz der
aus inhaltlichen Gründen zwingenden Notwendigkeit einer solchen Auseinandersetzung mit
unserem Thema wird es wohl – selbst in einem der reichsten Länder der Welt – aus finanziellen
Gründen wahrscheinlich nicht dazu kommen.
Literatur:
Weiterführende Informationen über praktisch machbare Forschung bei: Payton (1989),
Ottenbacher (1986), Sohlberg und Mateer (1989, 2001), Howard und Hatfield (1987), Gordon
(in: Meier et al.,1987), Wilson et al. (2003). Über die Definition von evidenzbasierter Medizin:
viele Artikeln, z.B. Sackett und Mitarbeiter (1996) und Wikipedia.
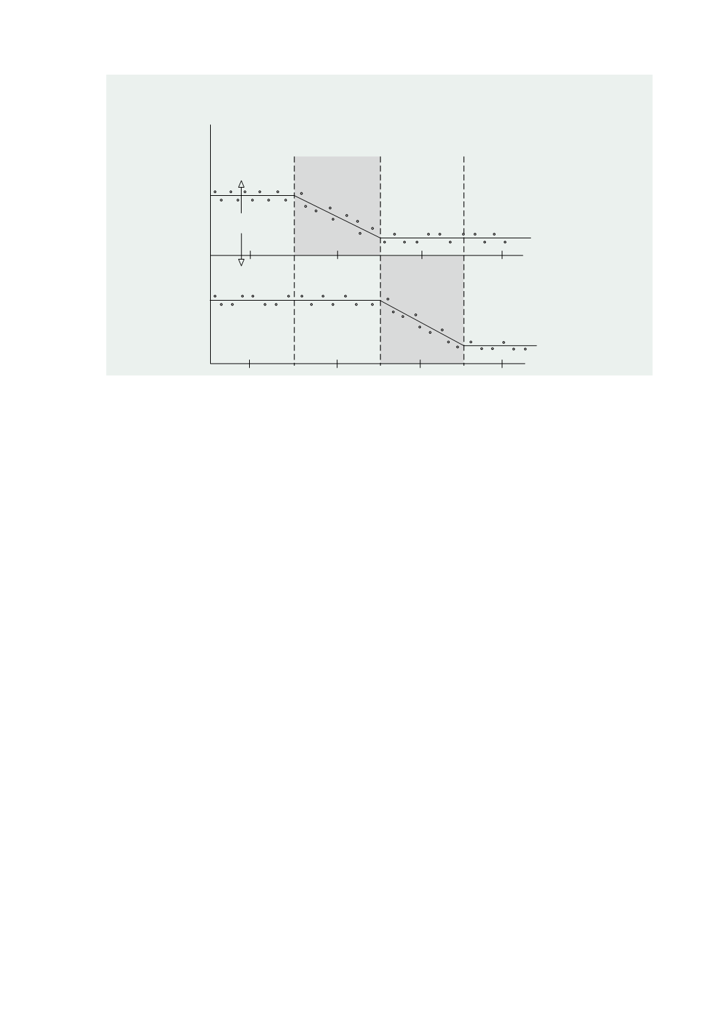
Abb. 12.2 Spiegeltherapie bei Fu
ß
inversion: Crossover-Versuch
Die Patienten werden nach dem Zufallsprinzip in zwei Gruppen eingeteilt. Die erste Gruppe erhält zunächst
die Therapie und dann die Placebomaßnahme, die zweite Gruppe die umgekehrte Reihenfolge. Als Placebo
dient ein frontal aufgestellter Spiegel, dessen Einbeziehung für den Patienten zwar plausibel erscheint, aber
nicht den speziellen Mechanismus des sagittal aufgestellten Spiegels auslöst.
Score für das Ausmaß
der Fußinversion
Gruppe 1
(n=5)
Gruppe 2
(n=5)
Placebo B Behandlung A
randomisiert
Wochen
Wochen
Behandlung A
sagittaler
Spiegel
Placebo B
frontaler
Spiegel
1...,50,51,52,53,54,55,56,57,58,59 61,62,63,64,65,66,67,68,69,70,...84
Powered by FlippingBook